顏色色彩管理、配色

顏色空間的分類及均勻顏色空間CIELab解析
顏色空間也稱顏色模型,是用數字的形式對顏色進行表達的一種方式。不同類型的顏色空間由于構成的不同,其表達顏色的方式也不同。本文對顏色空間的分類及均勻顏色空間CIELab做了解析。

顏色空間的分類:
用于表示物體顏色的體系稱為表色系,分為混色系、顯色系、均勻色空間和色貌模型四種。
混色系,是以顏色加法混合的三原色理論為基礎構建的表色系統,可以在該表色系下標定樣品的顏色坐標,如1931CIE-RGB顏色空間。
顯色系,是指以裝訂成色卡圖冊的實物樣品為基礎構建的表色系統,可用于目測祥品顏色時的對比色卡,如1943年孟塞爾提出的孟塞爾顯色系、瑞典自然色系(NCS)。
均勻色空間,是以前兩類的研究結果為基礎構建的,既可準確地標定祥品的顏色坐標,而且色空間中的顏色差異更符合人眼的色覺,如CIE1960均勻顏色空間、C1E1964均勻顏色空間、CIE1976L*a*b*和CIE1976L*u*v'均勻色空間等,其中CIE1976L*a*b*是最常用的顏色空間。
色貌模型,是以人眼觀察的各種參數為基礎構建的,能準確描述人眼在不同背景、環境、周圍場等狀態下顏色觀察結果的表色系統,如CIECAM02色貌模模型。
以上四類表色系均能定量的表示物體的顏色,定量的分析物體之間顏色的差異,但我們需要一種能和人眼色覺一致的表色系。在四類表色系中,均勻色空間最接近人眼的實際效果。CIEL*a*b*色空間的各顏色指數的均勻性優于其它色空間,CIEL*a*b*的特點是當顏色的色差大于視覺的識別閾限(恰可察覺)而又小于孟塞爾系統中相鄰兩級的色差值時,能較好地反映物體色的心理感受效果。
均勻顏色空間CIELab解析:
CIEL*a*b*(CIELAB)色空間是由縱坐標L*、水平的a*和b*軸構成的三維立體坐標系,如下圖所示。縱坐標軸L*表示明度,值越大樣品的明度值越高,取值范圍為0~100,純黑位于最下端,對應明度L*=0;純白色最亮,位于最上端,對應明度L*=100。a*和b*是色度坐標,正負值代表顏色的方向,+a*表示紅色方向,值越大紅色飽和度越高,-a*代表綠色方向,絕對值越大代表綠色越鮮艷,a*值范圍為-128~127;+b*為黃色方向,值越大黃色越鮮艷,-b*為藍色方向,絕對值越大表示藍色飽和度越高,b*值范圍為-128~127。

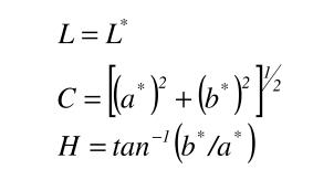
右圖是CIEL*a*b*色空間的極坐標表示法,由L*、C*、H表示。縱坐標L*值同樣對應于顏色三要素的明度,C*代表彩度,即某一顏色的坐標位置與原點的距離,圓心處顏色的飽和度C*值為0,離圓心越遠C*的值越大;H為色調,代表色調角,是某一顏色坐標在色品平面內的投影點和坐標原點的連線與a軸的夾角。規定*從正a軸(紅)開始為0°,逆時針為正,正b軸(黃)為90°,負a軸(綠)為180°,負b軸(藍)為270°。
CIELCH色彩空間是從CIELab色彩空間推導出來的,一種顏色可以用LAB表示,也可以用LCH表示。CIELab與CIELCH之間的轉換關系為:

在CIELab顏色空間中,若兩個顏色都是按照L*a*b*標定的,則兩個顏色之間的色差可以用歐式距離來計算:

其中,△L*是CIELAB空間的明度差,△a*是CIELAB空間的紅綠色光差,△b*是CIELAB空間的黃藍色光差。
△a*和△b*表示樣本和標準在ab*平面上位置的改變。如果將CIELab均勻顏色空間轉化為極坐標空間,則能更好地表示色差的性質,極坐標空間用LCH表示。因此,CIELAB色差公式也可以用明度差△L*、彩度差△C*ab和色相差△H*ab來定義,即:
