顏色色彩管理、配色

RGB顏色空間及RGB顏色空間色差值的計算
RGB顏色空間以紅(R)、綠(G)和藍(B)三種基本顏色為基礎,三種顏色進行不同程度的疊加,能夠產生豐富的顏色,因此 ,RGB顏色空間又被稱為三基色模型。本文對RGB顏色空間及RGB顏色空間色差值的計算做了介紹。

RGB顏色空間介紹:
在顏色測量中,RGB色彩空間是最常用的色彩模型,但是,RGB色彩模型并不完全符合人的視覺感知,換言之,兩顏色之間的是否相似難以通過RGB色彩空間中的距離來衡量。雖然有以上缺點,因為RGB色彩模型可以描述所有色彩,并且可以對RGB色彩空間進行線性、非線性變換轉化為其他色彩空間,因此RGB色彩空間成為了最基礎的色彩空間。
用RGB色彩空間描述色彩十分方便,所有顏色都只是三原色的不同比重混色。但是,RGB色彩空間對色彩特征沒有好的聚類特性。同一目標物體的R、G、B參數在不同的光照條件下會分布在較廣的范圍中,直接使用RGB色彩空間很難建立色彩特征模型,但是,可以對 RGB色彩空間進行變換,變換后的色彩空間會有更優良的聚類特性。
在RGB色彩空間中,三通道中描述了顏色信息和亮度信息。如果兩個像素點[R1,G1,B1]和[R2,G2,B2]的顏色相同而亮度不同,那么其RGB色彩空間的值符合如下條件:R1/R2=G1/G2=B1/B2,色彩具有恒常性,就算光照亮度不同,人類看到的色彩相對保持恒常。
因此,可以去除顏色空間中的亮度分量,留下顏色分量,即使用色度空間(r,g,b)表示色彩信息,得到歸一化rgb的色彩空間表示:r=R/(R+G+B)、g=G/(R+G+B)、b=B/(R+G+B),因為r+g+b=1,所以通常只使用其中的兩個分量。
歸一化RGB顏色空間降低了對色彩變化的依賴性,相對光強的變化也很穩定。但是該色彩模型的缺點在于:亮度不同,模型受噪聲的影響也不同,像素點的亮度值越低,受到噪聲的影響越明顯。
RGB顏色空間色差值的計算:
由于RGB顏色空間的顏色信息包含于R、G、B這三個分量,因此表示待測目標的顏色(R1,G1,B1)與標準顏色(R0,G0,B0)的差異就需要結合三個分量進行距離計算,兩者間色差的度量公式主要有三類:
1.RGB色差公式

該式表示的色差值是通過兩個顏色的空間距離米體現的。因此若要使結果正確,則必然要求 RGB顏色空間是一個均勻的顏色空間,即每個顏色的等色差顏色應成一個球面,且不同位置的等色差顏色對應該表現出相同的差異。顯然RGB顏色空間不具備這些條件,直接以空間距離表示的色差不符合人的視覺感受。
2.RGB加權色差公式

Wr,Wg,Wb是加權系數。由于RGB顏色空間的不均勻,相關人員試圖通過加權的方式來解決這個問題。權值的定義是根據人眼對紅、綠、藍三原色敏感程度的不同。通過調整RGB顏色空間,部分補償其非均勻性。在以往文獻中,關注的重點大多集中于所處理的某類簡單圖像,以至于加權系數各種各樣。并且由于RGB三個分量的不獨立性,三個坐標軸上的色差規律并不能簡單地推廣到整個顏色空間。另外算法的改進程度也是有限的,各種實驗結果也證明了并非各種加權算法總是優于非加權算法。
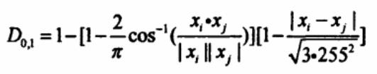
3.RGB角距離色差公式

其中,xi=(ri,gi,bi),xj=(rj,gj,bj)。該公式由 D.Androutsos等人提出,增加了對待比較顏色間的角度差的考慮。該公式對RGB色差度量有一定的改善能力,但效果也不夠明顯。